为贯彻落实国办发[2016]71号文件大力发展装配式建筑的实施意见,近几年山东省已先后出台《关于大力发展装配式建筑的实施意见》《关于进一步促进建筑业改革的十六条意见》《山东省绿色建筑促进办法(省政府令第323号)》等文件,并编制了山东省装配式建筑发展规划,明确了该省装配式建筑发展目标、重点任务、支持政策。济南市明确公共租赁房、棚户区改造安置房等政府投资类项目应全面采用装配式建造,开发项目新开工民用装配式建筑面积占项目建筑面积的比例应不低于土地出让合同中的约定,如合同无约定,原则上按30%执行 (平阴、商河按15%执行)。实体经济项目原则上不强制要求装配式建筑比例指标。装配式建筑应符合国家和山东省《装配式建筑评价标准》(GB/T 51129-2017)/DB37/T 5127-2018 的基本规定,其中装配式建筑单体装配率要达到50%以上;截止2020年,据山东省住房和城乡建设厅统计,2016年至2020年5月底,济南、济宁、青岛、潍坊、烟台分别累积新开工装配式建筑2666.62万平方米、511.46万平方米、1365.07万平方米、345.64万平方米、463.2万平方米,合在一起总面积达5351.99万平方米。

一、 山东省装配式建筑的评价标准及要求
山东省《装配式建筑评价标准》DB37/T 5127 - 2018关于装配式建筑的评价标准:
l 、主体结构部分的评价分值不应低于 20 分,其中梁、板、楼梯、阳台、空调板等构件的评价分值不应低于10分;
2 、围护墙和内隔墙部分的评价分值不应低于10分;
3、 应采用全装修;
4 、装配率不应低于50%。
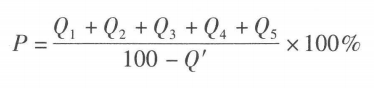
装配率应根据表 3.0.4 中评价项分值按下式计算:

式中:P——装配率;
Q1——主体结构指标实际得分值;
Q2——围护墙和内隔墙指标实际得分值;
Q3——装修和设备管线指标实际得分值;
Q4——标准化设计指标实际得分值;
Q5——信息化技术指标实际得分值;
Q'——评价项目中建筑功能缺少的评价项分值总和,Q4、Q5评价项不包含在内。

注:1、高精度模板内设保温材料现浇一次成型的非承重围护墙体,满足无空腔复合保温结构体要求且应用比例≥80%时,非承重围护墙非砌筑评价项得2.0分。
2、采用高精度砌块拼接内隔墙且应用比例≥80%时,内隔墙非砌筑评价项得2.0分。
3、围护墙、保温、装饰仅实现两者一体化,评价分值区间应为1.2~3.0。
4、内隔墙、管线、装修仅实现两者一体化,评价分值区间应为1.2~3.0。
5、表中带“*”项的分值采用“内插法”计算,计算结果取小数点后1位。
二、装配式建筑评价的多方案比选
“成本”、“质量”、“运维管理”是目前装配式建筑发展的三大痛点,很大程度上是前期策划及项目定位出了问题,适宜的、成熟的装配式策划方案在整个装配式项目成本控制、质量管控、施工管理中起到至关重要的作用。装配式策划方案的目的是在前期策划阶段所做的政策分析和土地合同分析、产品定位分析、以及项目开发进度质量成本销售等多目标的平衡与协同。正如中建科技集团董事长叶浩文先生说:要降成本只能从规划方案做起,否则神仙都不行。根据前期项目的实践,我们整理了四种经典策划方案,列举了各方案的优劣势及方案的适宜环境。
方案一
三明治外墙方案
本方案采用主体竖向构件、主体水平构件、预制内隔墙、全装修、标准化设计,主体竖向构件采用三明治外墙。

优 势 | Advantage
1、结构保温一体化,无需后做保温,减少了后做外保温的工期,避免了传统保温构造渗水、脱落等问题;
2、济建发(2019)22号文件:预制外墙建筑面积不超总建筑面积3%的部分,不计入容积率,仅限三明治外墙。
3、三明治外墙自带50-60mm厚混凝土保护层,满足防火要求,避免传统保温消防隐患。
4、三明治外墙自带50-60mm厚混凝土保护层可计入房产测绘面积,增加可售面积。
5、装配式装修不用考虑,满足全装修即可。
劣 势 | Disadvantage
主体结构成本增量较多,对施工单位技术要求水平较高。

方案二
预制内墙或预制内页板方案
本方案采用主体竖向构件、主体水平构件、预制内隔墙、全装修、标准化设计,主体竖向构件采用外墙内页板或预制内墙。本方案采用主体竖向构件、主体水平构件、预制内隔墙、全装修、标准化设计,主体竖向构件采用外墙内页板或预制内墙。

优 势 | Advantage
1、预制内墙标准化程度较高,构件生产成本较低。
2、施工工艺及构造相对三明治外墙简单成熟;
3、装配式装修不用考虑,满足全装修即可。
劣 势 | Disadvantage
1、主体结构成本增量较多,对施工单位要求水平较高;
2、无法实现保温结构一体化;
3、非承重外隔墙需要额外选择。
方案三
复合保温一体化方案
本方案采用RQB、PSI、IPS体系+高精模板+主体竖向构件、主体水平构件、预制内隔墙、全装修、标准化设计,主体竖向构件采用预制内墙。

优 势 | Advantage
1、此方案外墙采用全现浇体系,施工周期短,装配式侧重于预制内剪力墙,构件预制生产按照较外墙较为容易,标准化较高,内装体系只需满足全装修即可。
2、高精度模板内设保温材料现浇一次成型的非承重围护墙体,满足无空腔复合保温结构体要求且应用比例达到80% 时,非承重围护墙非砌筑评价项得2.0 分。
3、外墙需要采用无空腔复核保温一体化+高精模板,可实现保温一体化,免后做保温。
4、最外侧50厚保护层可计入产权测绘面积,增加可售面积。
劣 势 | Disadvantage
1、外墙全现浇,结构荷载加大,成本较高。
2、无空腔复合保温一体化外墙为全现浇体系,施工较为复杂,存在一定的开裂渗水风险,成本较高。
2、无空腔复合保温一体化外墙为全现浇体系,施工较为复杂,存在一定的开裂渗水风险。

方案四
装配式内装方案
本方案采用主体水平构件、预制内隔墙、全装修、装配式内装、标准化设计,装配式装修采用干式工法楼地面、集成卫生间、管线分离。

优 势 | Advantage
1、此方案侧重内装体系,主要采用集成卫浴、干式工法、管线分离,现场内装湿作业减少,现场拼装速度快,生态环保,大大减少二次装修造成的污染。
2、不采用竖向构件,主体工期和成本造价影响较小。
劣 势 | Disadvantage
1、目前交付案例较少,还需考虑装配内装市场接受度。
2、装配式内装不够成熟,许多节点的处理和产品都摸索阶段。
3、装配式内装施工管理体系较为严格,管理不善,后期投诉风险较大。

三、成本对比分析
经过前期对比分析,四种方案均有利弊,每种方案的评定和选择均有他适宜的环境。整体而言,在满足50%装配率的情况下,采用竖向构件的装配式方案成本较高,如果奖励政策的落地及建筑销售单价的提升,一定程度上平衡一些成本的增量。

四、总结
装配式策划应充分考虑当地装配式政策、土地合同约束、项目产品定位、项目开发进度、施工技术、质量成本、销售等多个因素,从而因地制宜、因时制宜的选择相对成熟、成本较低的方案。例如在装配式技术还不太成熟的地市,装配选型时,尽量优先选取相对成熟的策划方案,同时选用相对有经验的施工单位,在设计阶段多方求证考察、在施工阶段随时关注,从而控制甲方风险,降低成本
编辑:曹晓冉
审核:马彬亚
素材来源:同圆装配式建筑研究院
联系地址:德州市经济技术开发区红都路956号
联系电话:0534-2109518
传真:0534-2109698
邮箱:[email protected]
周经理:18963003578

微信扫一扫
WECHAT SCAN